Здравствуйте, гость ( Вход | Регистрация )

 
Добавить ответ в эту темуОткрыть тему
> 

нужно рассчитать сечение кабеля , подключение цеха

energy_manager
сообщение 4.1.2012, 13:13
Сообщение #1


Заглянувший
*

Группа: Новые пользователи
Сообщений: 2
Регистрация: 4.1.2012
Пользователь №: 25593



Всем добрый день...и соббсна с праздниками)))
короче говоря,есть проблемка.....
у нас на предприятии хотят снять в аренду помещение,и сделать цех по переработке зерна и т.д.
максимальная мощность 200квт /час,380в. кабель планируется бросить по воздуху(опорам)
длина порядка 50-60м. от подстанции... не могу просчитать какое оптимальное сечение нужно...
кто в курсе помогите плиз
Вернуться в начало страницы
Вставить ник
+Ответить с цитированием данного сообщения
с2н5он
сообщение 4.1.2012, 13:38
Сообщение #2


=VIP=
**********

Группа: Модераторы
Сообщений: 23185
Регистрация: 12.7.2009
Из: Вологодская область
Пользователь №: 14996



кабель или что там у Вас выбирается по мощности, а не по расходу ЭЭ
ну а ежли 200 нагрузка, то по воздуху медью на 240 НО нужно знать что за нагрузка


--------------------
интереснее всего в этом вранье то, что оно враньё от первого до последнего слова
Вернуться в начало страницы
Вставить ник
+Ответить с цитированием данного сообщения
slavapril
сообщение 4.1.2012, 15:43
Сообщение #3


Специалист
*****

Группа: Пользователи
Сообщений: 573
Регистрация: 22.1.2010
Пользователь №: 17031



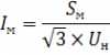
Прикрепленное изображение
, где Sм - полная расчетная максимальная мощность, уже вычисленная с учетом коэффициентов использования и спроса(или опытным путем измерений). Возможно, именно ее вам и дали, но ее размерность - кВ*А. Uн - номинальное напряжение. В вашем случае 380В. Если же вам дали просто расчетную активную мощность(опять же-таки в кВт, а не в кВт/ч), то это не правильно, ибо для двигателей не учтен cosфи и нет значения пускового тока самого мощного из них, а это нужно для расчета пикового тока и полной максимальной мощности Sм. Именно по ней рассчитывается оптимальное сечение кабеля с учетом его нагрева.
А в идеальном варианте просчитываются потери напряжения(мощности) и выбор сечения по экономической плотности тока.
Вам надо точно узнать, что за значение вам дали - расчетную активную мощность или полную. А потом от этого плясать.

Сообщение отредактировал slavapril - 4.1.2012, 15:44
Вернуться в начало страницы
Вставить ник
+Ответить с цитированием данного сообщения
Sinus
сообщение 5.1.2012, 7:23
Сообщение #4


=VIP=
**********

Группа: Пользователи
Сообщений: 2646
Регистрация: 30.4.2011
Из: Дальневосточные берега РФ
Пользователь №: 22651



>>>максимальная мощность 200квт /час
При таком раскладе сечение должно быть 12.5 кубической секунды на метр квадратный.

ps модеры уж простите, но такой безграмотности, даже в ветке для чайников потерпеть не могу.

Сообщение отредактировал Sinus - 5.1.2012, 8:16
Вернуться в начало страницы
Вставить ник
+Ответить с цитированием данного сообщения
ChisinevSveta
сообщение 5.1.2012, 16:28
Сообщение #5


Заглянувший
*

Группа: Пользователи
Сообщений: 26
Регистрация: 24.2.2008
Из: Moldova
Пользователь №: 10549



Главная необходимая исходная информация (как вам уже сказали) - расчетная мощность (не установленная или расход ЭЭ) и ее составляющие (наличие двигателей большой мощности).
И на мой взгляд, если таки у Вас Рр=200кВт, то сечение будет определять ...... селективность защиты на стороне 0,4кВ на отходящем фидере ТП и по всей цепочке исходя из Iдд.
1. При такой нагрузке установка компенсирующих устройств на мой взгляд необходима, соответственно cosф стремиться вверх,ток соответственно вниз (о выборе по I дд)
2. На длине 50-60 м потери напряжения меньше 1%
3. Токи кз? Нет данных по ТП, но при такой длине трассы и вероятности, что трансформатор не менее 630кВА, можно предположить, что Iкз не будет определяющим при выборе сечения (при условии наличия предохранителей, а не автоматов).
PS. Экономическая плотность тока -
п.1.3.28. Проверке по экономической плотности тока не подлежат:
сети промышленных предприятий и сооружений напряжением до 1 кВ при числе часов использования максимума нагрузки предприятий до 4000- 5000;
Переработка зерна есть сезонное предприятие.


Сообщение отредактировал ChisinevSveta - 5.1.2012, 18:35
Вернуться в начало страницы
Вставить ник
+Ответить с цитированием данного сообщения
Volt380
сообщение 5.1.2012, 19:27
Сообщение #6


=VIP=
**********

Группа: Пользователи
Сообщений: 2963
Регистрация: 23.7.2009
Из: Волгодонск
Пользователь №: 15076



Цитата(Sinus @ 5.1.2012, 7:23) *
>>>максимальная мощность 200квт /час
При таком раскладе сечение должно быть 12.5 кубической секунды на метр квадратный..

хааа!! насмешили конечно, но это ж чайники)) смущает только то что чайнику доверили столь серьёзный расчёт! имхо без энергетика тут никак..


--------------------
Когда жена молчит - её так приятно слушать..
Вернуться в начало страницы
Вставить ник
+Ответить с цитированием данного сообщения
Sinus
сообщение 5.1.2012, 22:51
Сообщение #7


=VIP=
**********

Группа: Пользователи
Сообщений: 2646
Регистрация: 30.4.2011
Из: Дальневосточные берега РФ
Пользователь №: 22651



Это не чайник.
Это классический пример эффективного менеджмента, задача которого максимально эффективно (читай бесплатно) замутить решение проблемки icon_wink.gif
Автор отправляйтесь к проектировщикам, ну на худой менеджерский конец к энергетику предприятия с бутылочкой Чиваса.
Вернуться в начало страницы
Вставить ник
+Ответить с цитированием данного сообщения
energy_manager
сообщение 12.1.2012, 11:47
Сообщение #8


Заглянувший
*

Группа: Новые пользователи
Сообщений: 2
Регистрация: 4.1.2012
Пользователь №: 25593



то есть это ветка не форума об электрики для чайников ,
а высшая энергетическая секта???
мне не понятны такие ответы...
по поводу проэктировщика......как нибудь определюсь сам куда обратиться.......
тогда мне непонятна цель существования этого форума icon_biggrin.gif типа поумничать???
если не знаете нефик тут умничать.....так и скажите -не наю....
Вернуться в начало страницы
Вставить ник
+Ответить с цитированием данного сообщения
savelij®
сообщение 12.1.2012, 12:26
Сообщение #9


=VIP=
**********

Группа: Модераторы
Сообщений: 13416
Регистрация: 30.5.2006
Из: Санкт-Петербург
Пользователь №: 5663



Цитата(energy_manager @ 12.1.2012, 12:47) *
мне не понятны такие ответы...

А не проскочила ли у Вас мысль, что остальным непонятен Ваш вопрос? Об этом и было сказано в первом же ответе. Мощность оборудования, характеристика оборудования, длина трассы, способ прокладки линии... Озвучьте эти параметры и получите короткий ответ.

Это дейтствительно ветка для чайников, но некоторые форумчане забывают об этом... Вы уж извините их.


--------------------
Не говорите что мне делать,.... и я не скажу куда вам идти.©
Вернуться в начало страницы
Вставить ник
+Ответить с цитированием данного сообщения

Быстрый ответДобавить ответ в эту темуОткрыть тему
1 чел. читают эту тему (гостей: 1, скрытых пользователей: 0)
Пользователей: 0


 



RSS Текстовая версия Сейчас: 8.11.2025, 17:15
Rambler's Top100     
Стиль от Desi.Ru - сайты и домены